Zirkonium 702

  • Zirkonium 702
  • Zirkonium 804

Produktdetails

Zr-4-Standard

Unsere Zr-4-Bleche, Zr-4-Stäbe, Zr-4-Folien, Zr-4-Drähte, Zr-4-Rohre, Zr-4-Targets und Zr-4-Bauteile entsprechen den Normen ASTM B351, ASTM B352 und ASTM B353.

Zr-4 Eigenschaften

Zugfestigkeit von Zr-4-Legierungsrohren
Werkstoffzustand Zugfestigkeit/MPa Streckgrenze/MPa Dehnung/%
Raumtemperatur 380 °C Raumtemperatur 380 °C Raumtemperatur 380 °C
Rekristallisation ≥ 413 ≥ 195 ≥ 241 ≥ 120 ≥ 20 ≥ 25
As-annealed 425 205 260 135 20 22
Absorbierte Wasserstoffmenge der Zr-4-Legierung unter Bestrahlung
Legierung Metallurgischer Zustand Gewichtszunahme des absorbierten Wasserstoffs Absorbierte Wasserstoffmenge
Ferner Fluss Naher Fluss 1020
Neutronen/cm2
1,7 × 1021
Neutronen/cm2
Ferner Fluss Naher Fluss 1020
Neutronen/cm2
1,7 × 1021
Neutronen/cm2
Zr-4 Ausglühen (perfillmimg) 0,5 0,4 - 1,9 22 80 - 17
Anneal (Säurewäsche) 0 0.1 0.2 1.1 - 7 8 13

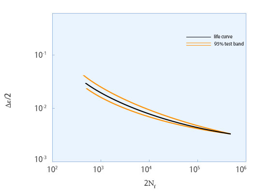
Diagramm der Dehnungsermüdungslebensdauer der Zr-4-Legierung unter verschiedenen Bedingungen


Diagramm zur Rekristallisations- und Glühlebensdauer der Zr-4-Legierung

Zr-4 Anwendung

Anwendung von Zirkoniumlegierungen in Kernreaktoren
Zirkoniumlegierung Reaktortyp Anwendung
Zr-4 PWR, PHWR, Niedertemperatur-Kernheizreaktor  Kraftstoffrohr, Steuerstangenführungsrohr, Messrohr,
Gitterabstandshalter, Endstopfen, Heizelementkasten

Zirconium-4 application

Sollten Sie Hilfe benötigen, kontaktieren Sie uns bitte.