Gold-Nickel-Legierung

  • Gold-Nickel-Legierungsdraht
  • Gold-Nickel-Legierungsdraht

Produktdetails

Gold-Nickel-Legierung

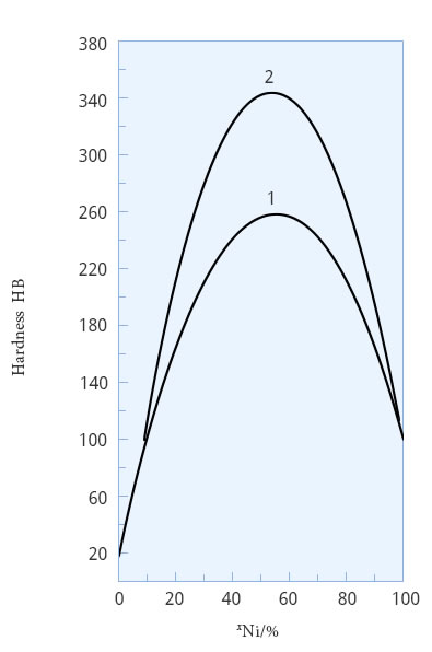
  • Gold-Nickel-Legierung ist eine binäre Legierung aus Gold und Nickel. Sie ist oberhalb von 850 °C fest und zersetzt sich bei niedrigen Temperaturen in gold- und nickelreiche Legierungen. Beispiele für Gold-Nickel-Legierungen sind AuNi5, AuNi9, AuNi10, AuNi17,5 und AuNi18. Sie werden durch Vakuuminduktionsschmelzen und anschließendes Abschrecken in Wasser hergestellt. Legierungen mit einem Nickelgehalt unter 10 % sind kaltverformbar, solche mit einem Gehalt über 18 % können nach dem Erweichen sowohl kalt- als auch warmverformt werden. Gold-Nickel-Legierung findet breite Anwendung als elektrisches Kontaktmaterial für leichte und mittlere Belastungen; AuNi18, AuNi45 usw. werden beispielsweise in Vakuumlötverbindungen und beim Hartlöten von Triebwerkschaufeln eingesetzt.

  • Die Gold-Nickel-Komplexlegierung basiert auf einer Gold-Nickel-Matrix und besteht aus Chrom, Eisen, Yttrium, Gadolinium sowie Zirkonium. Sie zeichnet sich durch einen niedrigen Widerstandstemperaturkoeffizienten, Abriebfestigkeit und eine lange Lebensdauer aus und eignet sich daher als Wicklungs- und Bürstenmaterial mit niedrigem bis mittlerem spezifischem Widerstand. Durch Zugabe geringer Mengen der Seltenen-Erd-Elemente Gadolinium und Yttrium kann die AuNi9-Legierung zu den Legierungen AuNiGd9-0,5 und AuNiY9-0,5 verarbeitet werden; durch Zugabe von Chrom entstehen daraus die Legierungen AuNiCr5-1 und AuNiCr5-2. Beide Legierungsgruppen zählen zu den am häufigsten eingesetzten Werkstoffen.


The Hardness of Au-Ni Alloys
1 — Quenching State Alloys; 2 — Aging State Alloys

Sollten Sie Hilfe benötigen, kontaktieren Sie uns bitte.