Platin

  • Platinblech
  • Pt Sheet

Produktdetails

Einführung in Platinum

  • Platin zeichnet sich durch hervorragende Eigenschaften aus und findet in vielen Bereichen breite Anwendung. In der Schmuckindustrie wird es hauptsächlich für Ornamente und Kunsthandwerk verwendet. In der chemischen Industrie dient es als Katalysator für moderne chemische Reaktionsgefäße, Platingele, Elektroden und beschleunigte chemische Reaktionen. Platin-Iridium-Legierungen werden auch für Füllfederhalterfedern eingesetzt.

  • Die Farbe und der Glanz von Platin sind natürlich. Die Härte liegt bei 4 bis 4,5, die relative Dichte bei 21,45 und das Proportionalitätsverhältnis bei 15 bis 19 bzw. 21,4. Platin ist sehr duktil und lässt sich zu sehr dünnem Platindraht ziehen und zu extrem dünner Platinfolie walzen. Seine Festigkeit und Zähigkeit sind deutlich höher als die anderer Edelmetalle. Ein Gramm Platin kann ohne zu brechen auf eine Länge von 1,6 Kilometern gedehnt werden. Der Schmelzpunkt von Platin liegt bei 1773,5 °C. Es besitzt eine gute Wärmeleitfähigkeit. Die chemischen Eigenschaften sind äußerst stabil; es ist unlöslich in starken Säuren und Laugen und oxidiert nicht an der Luft. Platin absorbiert kein Quecksilber und hat eine einzigartige katalytische Wirkung.


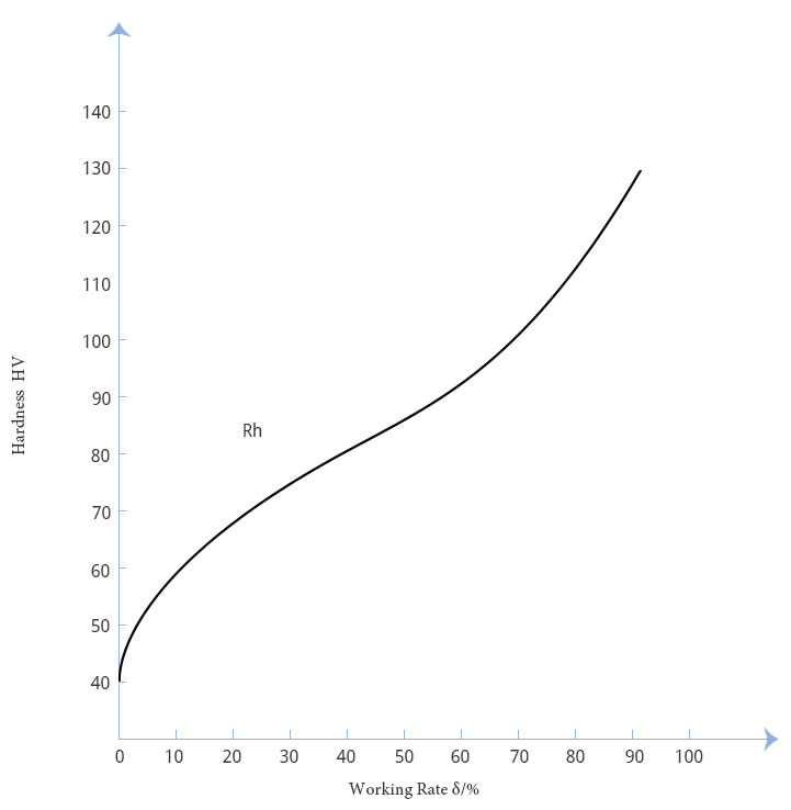
Härte von Platin mit 99,9 % Reinheit nach Walzen und Glühen (Glühzeit 1 h)

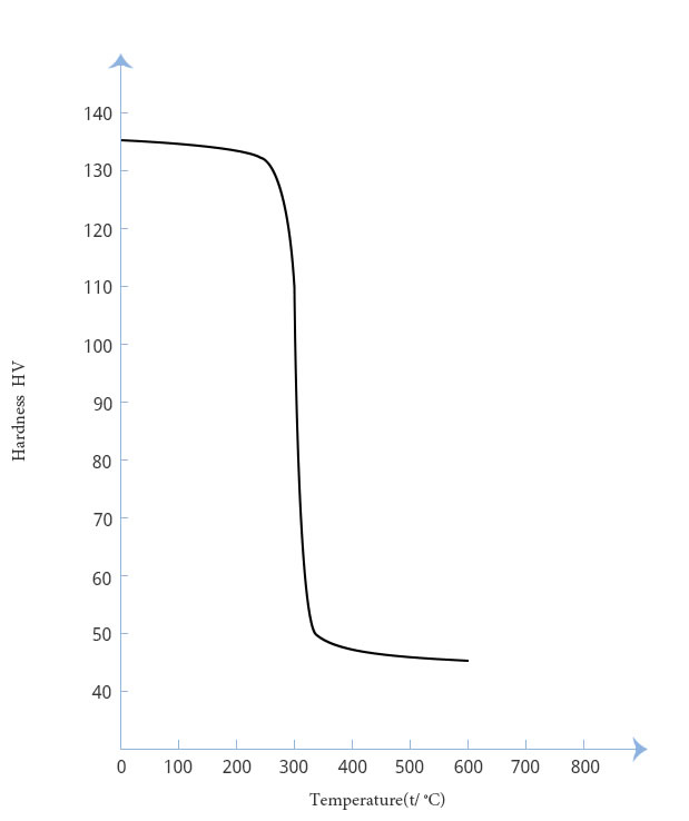
Härtungskurve von hochreinem Platin

Glühkurve von hochreinem Platin

Sollten Sie Hilfe benötigen, kontaktieren Sie uns bitte.